我国油田大都采用分层注水方式保持油层压力,在开发过程中,需要及时了解掌握注水井各层的动态注入量,注入剖面测试技术即动态监测技术。随着生产上的要求 ,在注水井注入剖面测试中新的监测技术不断应用。
电磁流量测试技术以其测量精度高无污染,已在国内多个油田注入剖面测试中应用,在笼统注入井注入剖面测试中可取代传统的同位素测试,取得了较好的应用效果。
电磁流量计的基本测量原理是电磁感应原理,当导电的注入流体流经测量探头时,切割仪器产生的电磁场 ,在流体中就会产生一个感应电动势,通过测量这个由流体切割磁力线的快慢(即流体流动速度)产生的变化电压信号,来测量流体流速的大小,进而根据标定数据确定出流量。
从测量原理来看,影响注入流体流速的因素将对测量结果产生较大影响,而当全井注入量一定时,影响注入流体流速的因素主要是测其通道过流面积的变化。油田注入剖面测试中使用的电磁流量计,在室内标定中使用的是标准的套管尺寸或油管尺寸,而实际测量时由于长期注水和井下原因引起套管变形、结垢、腐蚀等情况 ,使实际的测量通道与标定环境有一定差异,因此引起测量结果误差。
1、井径对测量结果的影响分析
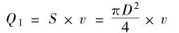
设实际流量为 O ,测量流量为 O1,标定时测量通道直径为D,截面积为 S ,实际测量通道直径为 D1,截面积为 S1 ,流速为 "。当流量计测出流量频率值后,根据标定图版可换算为流量,此时计算采用的是标准过流通道内径,瞬时测量流量应为:

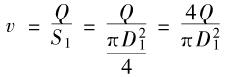
当过流通道变化时,此时流速为:
则
可见 ,测量流量与实际流量有一个系数差,这个系数与测量通道管径变化的平方成正比,是一个指数关系,当D 与D1 相差不大时, Q1 与 Q 相比误差不大,而当D1与D相差较大时, Q1就超出了允许的误差范围,由上式可见,当实际管道直径变化量达 5% 时 ,流量就有超出 10% 的误差。而在实际的电磁流量计测量和解释时均未考虑到管径尺寸差异引起的计量误差。这在内流式和外流式电磁流量测量方式上均有影响。为了提高测试精度 ,消除此项误差,就必须对管径变化的影响进行校正。
在工程测井技术中, 井径仪用来测量井下套管的变形情况,确定套管内径,其工作原理就是把套管直径方向的尺寸变化转化为电阻阻值的变化,其转化过程是通过一套机械传动结构来实现的。因此,可将和井径仪引入电磁流量计章面测试中,与电磁流量计组合,利用测得的井径数据修正测量与标定通道差异引起的解释误差。然而,一般井径仪由于测量原理的限制外径较大,不能通过油管测量。为此,设计了一种小型井径仪,同时可作电磁流量计的一个扶正器使用。
2.1 井径仪的选择
并径仪选择基于以下假设:影响电磁流量测量误差的套管或油管的变形是连续的,因此,其变形形状可用椭圆模拟。这样,在井径测量上采用 4 臂井径即可。
实际上,只要知道测量时通道的面积,不必知道通道的详细形状就能得到较好的校正效果,因此,4 臂井径足够使用。
为了实现过油管测量,缩短仪器长度,在设计上可将电磁流量计的一个扶正器设计为井径测量仪,其 4条扶正片作为4个测量臂。
2.2 并径仪原理
4个测量臂分为2组,每组测量一个方向,基本结构如图1所示。


图1 四臂井径结构图
其中上、下接头与仪器外壳相连,上、下滑套可分别在上下接头上滑动,测量臂的两端就分别装在滑套和接头上,使之受压变形后只有一端能动。与滑套相连的是上,下测量杆,二者通过上、下销村定在一起。当井径变化引起测量臂压缩时, 相应的上或下滑套随之动作,带动其上的测量杆作轴向运动 ,井径的变化就转化为测量杆的位移。由检测电路检测这位移 ,就可得到井径的变化。
2.3 井径探头测量原理
井径探头结构示意图如图2 所示。
其测量原理是电容法,即将井径的变化转变为电容的变化,其中上、`下测量杆与仪器外壳联通作为一个电极,黄铜作的探头外数一层聚氟乙烯绝缘层后作为另一个电极,二者组成一个容量可以变化的电容器传感器。

井径测量探头等效电路如图 3 所示,测量探头实际上由三部分组成,一是分布电容 Cf 二是电极绝缘层电容 Cp, 电极棒和测量杆外亮之间的电容 Cz, 称被测电容。当传感器几何尺才已定,则 Cf和 Cp 为固定值,测量探头传感器的容量变化决定于测量介质和两个电极的相对位置 ,一般对于注水井来说,注入流体是一定的,因此,测量探头传感器的容量变化就只决定于2个电极的相对位置变化。当测量杆随测量臂发生位移后,引起电容的容量变化,这个变化就表征了井径的改变。
测量电路记录到这个电容变化后就可以换算为井径的大小,利用解释软件计算并模拟出测量段套管或油管内径变化,并用椭圆面积计算公式 A=兀xaxb计算出当前面积(a、b分别为井径的2个测量臂测出的尺寸) ,为流量解释提供校正因子。为了能够在正常注水情况下测试,井径仪外径设计为 Φ38 mm, 可以通过油管下入 ,测量范围覆盖油管和套管内径。
2.4 相关计算
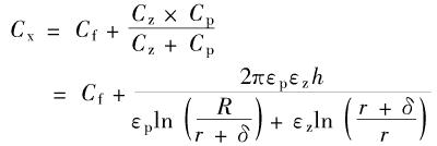
电容中心电极半径为r,内电极绝缘层厚度为 ∂,绝缘材料介电常数为 ep,传感器外电极内表面半径为R,电极长度为 六,se; 为注入水介电常数,根据同轴柱状电容器容量计算公式,可得绝缘层和被测介质的电容 Cp、Cz, 为:
传感器电容 Cx 为:
设计取R=3 mm,r = 2 mm,绝缘材料选用聚四氟乙稀(Ep= 2.0)、厚度 ∂ = 0.2 mm,取水的介电常数 Ez,= 80。则测量杆每移动 1 mm 并径探头产生的电容变化约为1.1 PF ,电路设计具有 0.1 PF 的分辩率,因此,是可以满足使用要求的。
传感器电容变化量及流量变化量与井径关系如图4所示。
3、 注意事项
(1)为了不对现有电磁流量计改动,井径仪设计为过线形式,安装于电磁流量计上方。
(3)井径测量臂应采用高硬度弹策钢制成。
(4)在实际测试中起下仪器的速度应控制。
4、 结束语
电磁流量计测量精度高,有较好的应用效果。但实际测量通道与标定环境有一定差异,引起测量结果误差。
将井径测量引入电磁流量计剖面测试中,可有效校正因测量通道发生变化引起的测量误差。设计的井径仪采用了新颖的电容法测量原理,有效地减小了尺寸 。
受外径限制,井径仪设计为四臂独立 ,测量臂采用扶正片形式,由连杆带动测量臂移动,由测量探头电容的大小变化得出测量臂的位移大小,进而确定该扶正片对应套管尺寸的变化。井径与电磁流量计的一体化设计,使井径仪即可测量通道井径的变化,又能作为电磁流量计的一个扶正器使用,在基本保持仪器长度的前提下为流量解释多提供了一个测量参数。
上一条:
电磁流量计工作原理及现场安装示意图
下一条:
新型分体式电磁流量计接线盒构造优势